How to calculate the lifetime costs of software development?
Development
Roksana Radecka
In software development, making informed financial decisions requires a deep understanding of both initial and lifetime costs. Simple cost comparisons can be misleading without a detailed analysis. That's why we will delve into the methodologies of Lifecycle Cost Analysis (LCCA) and Total Cost of Ownership (TCO), providing formulas and detailed instructions to calculate these costs accurately.
How to calculate Lifecycle Cost Analysis (LCCA)?
Lifecycle Cost Analysis (LCCA) evaluates the total cost of ownership of a software application from its inception through to its retirement. It includes initial costs, ongoing costs, maintenance costs, upgrade costs, and retirement costs.
1. Identify all cost components
Initial Costs (IC): These include planning, design, development, testing, and deployment.
Operational Costs (OC): These cover hosting, infrastructure, and training.
Maintenance Costs (MC): Regular updates, bug fixes, and patches.
Upgrade Costs (UC): Expenses for adding new features or scaling the system.
End-of-Life Costs (EC): Decommissioning, data migration, and transition to new systems.
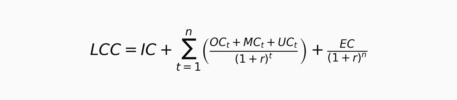
2. Formula for calculating LCCA
3. Calculation steps
Initial Costs (IC): Sum up all upfront expenditures (both direct and indirect costs).
Annual Costs: For each year \( t \), sum operational, maintenance, and upgrade costs, then discount them to present value using the discount rate \( r \).
End-of-Life Costs (EC): Discount these costs to present value.
Total LCC: Add the software purchase costs and the discounted annual costs over the lifecycle.
How to calculate the Total Cost of Ownership (TCO)?
Total Cost of Ownership (TCO) provides a holistic view of all costs associated with the software over its entire useful life, including acquisition costs, software implementation, licensing fees, software upgrades, maintenance and support costs, and additional costs.
1. Identify all cost components:
Acquisition Costs (AC): Similar to initial costs in LCCA, including hardware, software, and development costs.
Operating Costs (OC): Day-to-day expenses such as electricity, hosting, and administrative overhead.
Maintenance and Support Costs (MSC): Ongoing technical support, updates, and troubleshooting.
Indirect Costs (IC): Productivity loss, downtime, and training.
2. Formula for calculating TCO software
3. Calculation steps
Acquisition Costs (AC): Sum all initial expenses related to acquiring and setting up the software.
Annual Costs: Calculate and discount the annual operating, maintenance, and indirect costs for each year of ownership.
Total TCO: Sum the acquisition costs and the discounted annual costs over the period of ownership.
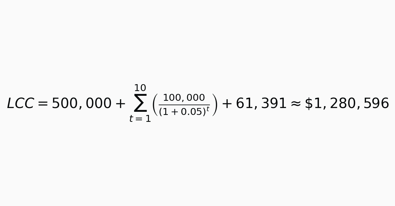
Example Calculation 1: High Initial Cost, Lower Lifetime Cost
Let's consider a hypothetical software project.
Initial Costs (IC): $500,000
Annual Operational Costs (OC): $50,000
Annual Maintenance Costs (MC): $30,000
Annual Upgrade Costs (UC): $20,000
End-of-Life Costs (EC): $100,000
Discount Rate (r): 5%
Lifecycle Duration (n): 10 years
LCCA Calculation
1. Initial Costs: $500,000
2. Annual Costs (discounted)
3. End-of-Life Costs (discounted)
4. Total LCC:
TCO Calculation
1. Acquisition Costs: $500,000
2. Annual Costs (discounted)
3. Total TCO:
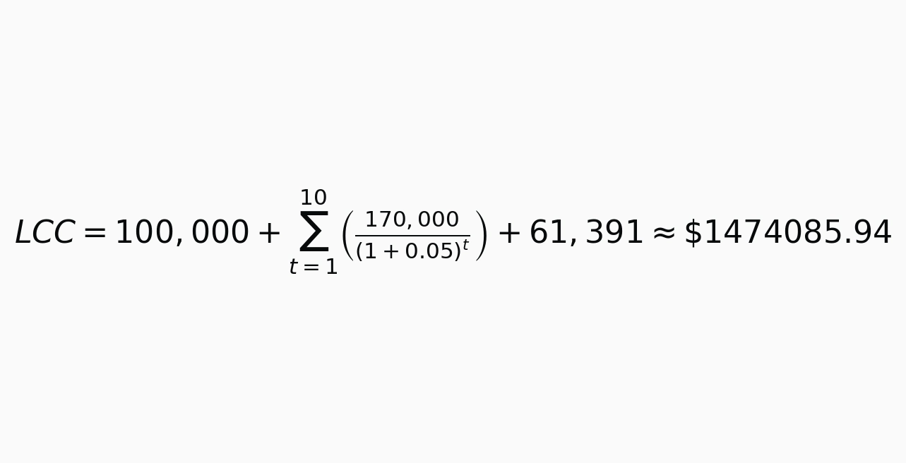
Example Calculation 2: Low Initial Cost, Higher Lifetime Cost
Now, consider another software project with lower initial costs but significantly higher ongoing expenses:
Initial Costs (IC): $100,000
Annual Operational Costs (OC): $80,000
Annual Maintenance Costs (MC): $50,000
Annual Upgrade Costs (UC): $40,000
End-of-Life Costs (EC): $100,000
Discount Rate (r): 5%
Lifecycle Duration (n): 10 years
LCCA Calculation:
Initial Costs: $100,000
Annual Costs (discounted)
3. End-of-Life Costs (discounted)
4. Total LCC
TCO Calculation:
1. Acquisition Costs: $100,000
2. Annual Costs (discounted)
3. Total TCO
Lifetime cost matters
Accurately calculating the lifetime costs of software development involves more than just tallying the initial expenses.
By using LCCA and TCO calculation, you can account for all costs over the software’s lifecycle, including development, maintenance, upgrades, and decommissioning. These detailed methodologies provide a clearer financial picture, uncover hidden costs, enable better decision-making, and ensure long-term financial sustainability.
At LLI, we prioritize building software that balances initial investment with long-term sustainability and scalability. By doing so, we ensure that our solutions not only meet current needs but also adapt seamlessly to future demands, providing maximum value over time.
Let’s discuss how we can drive long-term value and sustainable growth in software development.
Initial costs in software development refer to the expenses incurred during the planning, development, and deployment stages of a software project. These costs include expenses for requirements gathering, design, coding, testing, and initial deployment. They also encompass the costs of acquiring software tools, hardware, and any necessary third-party services.
Lifetime costs, also known as total cost of ownership (TCO), include all expenses related to a software project over its entire life cycle. This covers initial costs and ongoing expenses such as maintenance, updates, support, training, infrastructure, and potential costs for scaling and integration with other systems. It also includes costs for eventual decommissioning or migration to new systems.
Yes, reducing initial costs can often lead to higher lifetime costs. Cost-cutting measures during the initial development phase, such as using lower-quality materials, inadequate testing, or poor design, can result in more frequent maintenance, higher support costs, and potential system failures. This trade-off can increase the total cost of ownership significantly over time.
Several strategies can help balance technology investments, including:
Conducting TCO analysis: this helps to judge the true costs related to software development accurately.
Adopting Agile methodologies: This allows for iterative development, where adjustments can be made throughout the project, reducing the risk of costly mistakes.
Investing in quality assurance: Rigorous testing and quality control during development can reduce future maintenance costs.
Using scalable and flexible architectures: Designing software with scalability in mind can prevent expensive rework as the system grows.
Prioritizing documentation and training: Proper documentation and training can minimize software maintenance costs and improve system longevity.
Operating costs for software development can vary widely depending on the scale, complexity, and location of the project, as well as the specific technologies and methodologies used. They may have significant financial implications. However, these costs generally fall into several key categories:
Salaries and wages
Development team: Includes salaries for developers, designers, QA engineers, DevOps, and project managers.
Management: Salaries for higher-level management and administrative staff involved in overseeing the project.
Benefits and overheads
Health insurance, retirement plans, and other employee benefits.
Office space, utilities, equipment (computers, servers), and office supplies.
Software licenses and subscriptions
Costs for development tools, integrated development environments (IDEs), version control systems, and other necessary software.
Cloud services and hosting costs for development and production environments.
Infrastructure
Servers, networking equipment, and other hardware.
Cloud infrastructure costs, including storage, compute resources, and network bandwidth.
Training and development
Costs for ongoing training, certifications, and professional development for team members.
Conference and seminar attendance fees.
Quality assurance and testing
Costs associated with automated testing tools and manual testing processes.
Bug tracking and resolution tools.
Security
Costs for security tools and services, such as firewalls, antivirus, and security audits.
Compliance-related expenses for meeting industry standards (e.g., GDPR, HIPAA).
Project Management
Costs for project management tools and software.
Agile or other development methodology-related expenses.
Consulting and outsourcing
Fees for consultants, contractors, or outsourced services for specialized tasks.
Marketing and sales
Costs associated with marketing the software product, including promotional materials, advertisements, and sales commissions.
Customer support and onboarding expenses.
Maintenance and updates
Ongoing maintenance costs for updating software, fixing bugs, and adding new features.
Customer support and help desk operations.
Legal and compliance
Legal fees for contracts, intellectual property protection, and compliance with regulations.
Costs for maintaining software licenses and patents.
These categories encompass the broad range of costs associated with developing, deploying, and maintaining software. Each category can vary significantly based on the specific needs and circumstances of the software development project.
End-of-life (EOL) costs in software development refer to the expenses associated with the final stages of a software product's lifecycle, from the decision to discontinue the product to the completion of its retirement. These costs can be significant and encompass a variety of activities and considerations. Here's a list of key factors to consider:
Maintenance and support
Extended support: This includes providing extended support for customers who are still using the software. It might also include security patches, bug fixes, and customer service.
Customer communication: Informing customers about the EOL decision, timelines, and migration paths.
Migration and transition
Data Migration: Assisting customers in data migration to new systems or versions.
Training and documentation: Providing team and user training and documentation to help customers transition to new software.
Decommissioning
System deactivation: Safely shutting down and deactivating the software systems.
Data archival and deletion: Ensuring that data is either archived for compliance reasons or securely deleted.
Legal and compliance
Contract termination: Handling the termination or renegotiation of contracts with customers, vendors, and partners.
Compliance: Ensuring that the EOL process complies with legal and regulatory requirements, including data protection laws.
Ending contract with third software development party: Only applicable when the product was off-the-shelf software.
Resource utilization
Redeployment of staff: Redirecting development, support, and other staff to new projects or roles within the organization.
Infrastructure reallocation: Repurposing or decommissioning the hardware and software infrastructure used to support the EOL product.
Financial considerations
Write-offs: Accounting for any write-offs related to the discontinued software.
Customer Refunds: Managing any refunds or credits to customers affected by the EOL decision.
Marketing and Brand Management
Brand impact: Addressing any negative impact on the brand due to the discontinuation of the product.
Customer Loyalty: Managing customer relationships to retain loyalty despite the EOL decision.
Risk Management
Risk Mitigation: Identifying and mitigating risks associated with discontinuing the software, such as data loss or security vulnerabilities.
Opportunity costs
Strategic focus: Shifting focus from the EOL product to new or existing products that have more strategic importance for the company.
Effectively managing EOL costs involves careful planning and communication to minimize disruption for customers and to ensure a smooth transition for all stakeholders involved.